Welcome!
I’m Kai, a postdoctoral fellow at Rice University. Here you can find an overview of some of my work and interests, along with my professional details. I hail from sunny California, completed my Ph.D. in Ontario, Canada, and did my first postdoc at MPI-PKS in Dresden, Germany. In my free time I’m a big fan of camping in the great outdoors.
My Research
My research focuses on frustrated magnetism, lattice gauge theory, generalized symmetries, and their interplay in the descriptions of spin liquid phases of matter. My interests are particularly focused on gauge fields and topology in condensed matter systems, particularly in the context of spin liquids and frustrated quantum magnets, and in the use of higher-form and generalized symmetries in guiding our understanding of such exotic phases of matter. Towards that end I run a journal club on generalized symmetries. Here’s a quick intro to what I work on, check out my publications page for more! You’ll note I am a big fan of making nice 3D figures (which I make using Mathematica), you’ll find lots more on my publication page and in my papers.

My Ph.D. research centered on frustrated magnetism in pyrochlore rare earth insulators, focusing especially on the physics of the 1-form U(1) spin liquids known as quantum spin ices, and the use of polarized neutron scattering as a probe of spin liquidity. This work motivated me to study Hodge theory and differential forms applied to spin liquid phases, the topic of my Ph.D. dissertation. Using insights from Hodge theory led me to construct and study models for a new class of spin liquids, naturally dubbed 2-form U(1) spin liquids. These are depicted in the image above. In spin ice, spins organize themselves into strings, and excitations are point defects appearing at the ends of open strings. In a 2-form spin liquid like the spin vorticity model I introduced, the spins organize into membranes, and excitations are line defects appearing on the edges of open membranes.

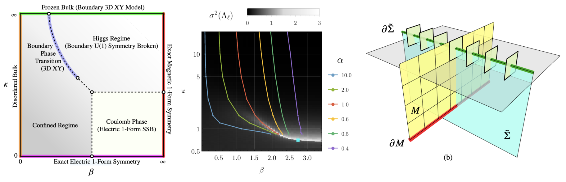
More recently my research has focused on lattice gauge theory, the nature of Higgs phases, and their interplay with generalized symmetries and symmetry breaking. This work has thus far culminated in the demonstration that Higgs phases exhibit boundary symmetry breaking under appropriate boundary conditions in Abelian, non-Abelian, and higher-form gauge theories coupled to Higgs fields. The figure above illustrates the phase diagram of the Abelian-Higgs model, which we showed exhibits boundary symmetry breaking in the Higgs phase. The right-most panel demonstrates how the same mechanism works for higher-form gauge theories.
Currently I am very interested in non-invertible symmetries and their spontaneous breaking, particularly in a class of \(G\)-qudit toy models. Unfortunately I don’t have a great picture for this yet, but I’m sure I’ll make one for my next paper!
