Spontaneously Broken Non-Invertible Symmetries in Transverse-Field Ising Qudit Chains
Published in (arXiv:2508.11003, in review), 2025
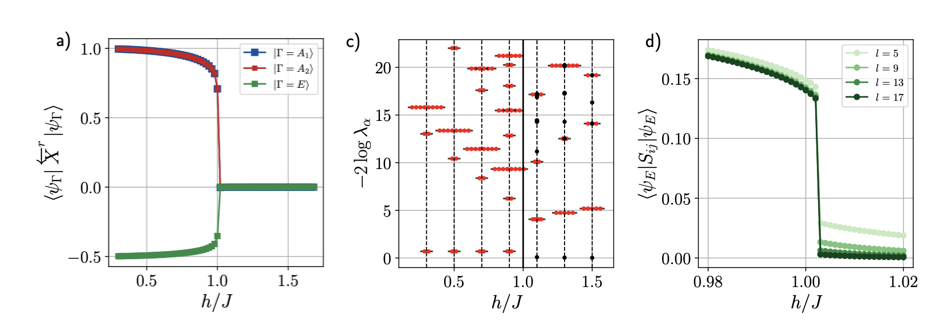
In this work we explore the basic properties of spontaneously broken non-invertible symmetries in a simple 1D chain model which generalizes the transverse-field Ising model. The Ising model has a $Z_2$ symmetry which is spontaneosuly broken, and is easily generalized to a clock model with $Z_N$ symmetry. These are further generalizable to qudit models with $G$ symmetry for an arbitrary discrete group $G$. Whereas the Ising and clock models are Kramers-Wannier self-dual, the analogous dual model for a non-Abelian group $G$ does not have $G$ symmetry but instead has non-invertible Rep($G$) symmetry. We study the Rep(G)-symmetric transverse field model and the spontaneously broken phase with a combination of exact analytical solutions at zero transverse field and DMRG numerical calculations. The most unique feature of the Rep(G)-broken phase is that different ground states have inequivalent entanglment patterns. Each ground state is labeled by an irrep of G, and has exact entanglement spectrum degeneracies equal to the dimension of the irrep. Thus the Rep(G) SSB blends local and non-local orders, which we show by computing both local and string order parameters. We show that the domain wall quasiparticles carry internal degrees of freedom and satisfy fusion rules like non-Abelian anyons in one higher dimension.

